摘要:
垂直腔面发射欧陆娱乐器是先进光学信息系统的关键器件之一,具有低成本、低发散角、窄线宽等优点。为满足垂直腔面发射欧陆娱乐器在微型原子钟、军事通信等领域的应用,优化欧陆娱乐器的结构参数来改善腔模位置以及在顶层集成光栅改善出光信号的光场分布就变得尤为重要。基于增益腔模失谐技术以及光栅优异的光束会聚、偏振分束功能,提出一种基于非周期性亚波长光栅的894 nm垂直腔面发射欧陆娱乐器。利用光栅的偏振分束功能,可使器件输出端口的消光大于30 dB。通过改善腔模位置以及氧化孔径,器件在20~90 ℃范围内基本工作性能保持稳定,在85 ℃环境下工作波长满足微型原子钟的要求,输出光功率为2 mW,为下一代微型原子钟、军事通信等的发展提供了良好的理论基础。
关键词:垂直腔面发射欧陆娱乐器;非周期性亚波长光栅;腔模位置;氧化孔径;光束会聚;偏振分束
1 引言
自1977年,日本东京工业大学的伊贺健一(Kenichi Iga)提出垂直腔面发射欧陆娱乐器(Vertical CavitySurface Emitting Laser,VCSEL)的概念开始,因其光学谐振腔与半导体芯片衬底垂直,能够实现芯片表面的欧陆娱乐发射,且具有低成本、窄线宽、易高频调制、动态单模工作等优点被广泛应用。在军事通信、原子陀螺仪、微型原子钟等领域具有重要的意义,目前开发研究具有高效偏振性能、耐高温性能的VCSEL已经成为国际研究的热点。
随着VCSEL的广泛应用,其某些缺陷和不足之处也逐渐呈现出来:当VCSEL工作在连续波时,由于电流的注入和器件结电阻、体电阻等原因使器件自身产生的热量以及工作环境中温度的升高,会导致VCSEL有源区在阈值处的温度比衬底高25~30 ℃。当高于26 ℃时,温度的升高会使欧陆娱乐器出现激射波长向长波长方向漂移、阈值电流增加、模式不稳定、光电转换效率降低。此外,还会造成有源区各材料层间产生热应力,而使欧陆娱乐器的寿命受到影响。因此,高温(85 ± 5 ℃)是VCSEL实现稳定工作的主要限制因素,改善欧陆娱乐器的耐高温特性对提高器件性能稳定性及使用寿命具有极其重要的现实意义。此外,VCSEL属于柱对称结构,正交偏振的两束偏振光没有主次之分,而且两束偏振光会沿任意角度传播,因此无法获得具有稳定偏振的输出。目前在解决VCSEL偏振问题时,一般通过在器件顶层集成亚波长光栅的方式实现,从而使得TM偏振光被透射出去作为欧陆娱乐器的出射光,TE偏振光则是被反射回欧陆娱乐器的腔内参与振荡,不过在具体分析时均未考虑被反射回腔内的TE偏振光对欧陆娱乐器原有工作性能的影响。
为解决以上VCSEL存在的问题,我们提出一种基于非周期性亚波长偏振分束光栅的垂直腔面发射欧陆娱乐器(VCSEL based on Non-periodic Subwavelength Polarization beamsplitting Grating,NSPG-VCSEL)。通过分析在温度升高时腔模位置以及氧化孔径对于激射波长的影响,确定了NSPG-VCSEL光栅实现偏振分束的相位条件,建立了NSPG-VCSEL系统模型。基于改善腔模位置以及优化氧化孔径实现了NSPG-VCSEL的耐高温性能,通过对比本器件加偏振分束光栅前后输出光功率、消光比等参数,发现完全能够满足微型原子钟、军事通信等领域对欧陆娱乐器波长以及出光信号的要求。
2 894 nmNSPG-VCSEL结构设计理论
图1所示为894 nm NSPG-VCSEL的横截面结构示意图。通过有机金属化学气相沉积(metal-organicChemical Vapor Deposition,MOCVD)在GaAs衬底上生长NSPG-VCSEL的外延半导体结构。有源区包含3个提供光增益的InGaAs应变量子阱,底部分布布拉格反射镜(NDBR)和顶部分布布拉格反射镜(PDBR)由34 / 22.5对Al 0.12 Ga 0.88 As/ Al 0.9 Ga 0.1 As层组成。在有源区和PDBR之间生长30 nm厚的Al 0.98 Ga 0.02 As层作为氧化限制层。顶层是120 nm厚的非周期性亚波长光栅结构,光栅的材料为AlGaAs。

图1 894 nm NSPG-VCSEL的横截面结构示意图
2.1 阈值特性
已知阈值电流的表达式

其中,γ为损耗系数,α m 为镜面损耗,τ r 为光学限制因子,η i 为内部量子效率。
影响器件阈值特性的主要因素有腔体的损耗、有源区的体积、有源区的材料选取,为得到NSPG-VCSEL的低阈值电流,我们采取了以下措施:降低腔体的损耗,即增加DBR的反射率,DBR选择由两种厚度为λ / 4的高低折射率材料交替生长而成;减小发光区有源区的体积,即减小量子阱的厚度,选用了6 nm的量子阱厚度,与一般结构相比具有较小量子阱厚度且增益能够达到最佳效果;选取了N tr 值较低g 0 值较高的材料,在达到减小阈值电流的同时保证了阈值增益满足产生欧陆娱乐的必要条件。
2.2 高温特性
高温工作环境中,为使器件稳定在工作波长,腔模是其最主要的决定因素,当光通过K层材料后产生的传输矩阵可以表示为:

由上式得出器件在不同波长处对应的反射率、反射谱,进而获得腔模位置。随着环境温度的升高,腔模位置会发生红移,但是由于AlGaAs材料折射率受温度影响很小,因而,腔模红移的速率很小,可以忽略不计。同时,量子阱增益峰值波长也会随之红移,因此,在室温下将量子阱增益峰值对应的波长适当的蓝移,随工作温度的升高,量子阱增益峰值不断靠近腔模位置,当升高到某一温度时,量子阱增益峰波长与腔模相匹配满足工作波长的要求。
器件自热效应与电流、氧化孔径尺寸比例关系可表示为:

其中d为氧化孔径的尺寸。
上式说明相同的电流注入下,当温度升高时,较小氧化孔径会使散射损耗增大,载流子会从量子阱中逸出,因此,较小的氧化孔径的NSPG-VCSEL自热效应更明显。此外,由于椭圆形不是对称结构,在短轴方向的出光信号分布受到限制,导致光场能量分布不均匀。在不同方向的折射率分布也不均匀,导致出射波长蓝移。随着氧化孔径的增大,不同径向的折射率差值会随之减小,各向异性减弱,器件的出射波长稳定。因此,本器件采用标准圆形较大尺寸的氧化孔径。
选择适当的增益腔模失配量以及氧化孔径的形状、尺寸对NSPG-VCSEL的高温性能至关重要。
3 光栅理论
图2所示为具有会聚功能的偏振分束光栅结构示意图。下层是表面刻蚀的AlGaAs结构,主要实现偏振分束功能,TE和TM的混合偏振光垂直入射在下层光栅表面,将入射光分成TE和TM偏振光,分别向左右两个方向传播。当波长为894 nm的TE与TM混合偏振光垂直入射至光栅表面时,TM偏振光几乎完全被衍射至1级,而TE偏振光则被衍射至-1级。根据光栅方程,计算可以得到,TE偏振光在-1级的衍射效率为96.12%,TM偏振光在1级的衍射效率高达99.61%。

图2 具有会聚功能的偏振分束光栅结构示意图
上层结构主要是实现光束透射会聚作用。TE和TM两个偏振光作为入射光经过下层的非周期亚波长光栅使各自光束会聚到两个不同的焦点处。图3(a)给出了TM偏振光的各个光栅单元周期和占空比的详细参数以及对应的相位分布情况。图3(b)给出了TE偏振光各个光栅单元周期和占空比的详细参数以及对应的相位分布情况。从图中可以看出,离散相位的各点几乎全部位于连续相位的曲线上,这两种分布基本一致,进而实现非周期性亚波长光栅的会聚功能。

图3 TM、TE偏振光的各个光栅单元周期和占空比的详细参数以及对应的相位分布情况
4 器件仿真结果
VCSEL无论作为功率源还是信号源,高温环境会导致器件的阈值电流增加以及波长红移、模式不稳定、光电转换效率低等问题,对欧陆娱乐器的寿命以及工作性能产生不容忽视的影响。此外,目前所研究的基于亚波长光栅的VCSEL在解决偏振问题时忽略了反射回腔内的TE偏振光,为避免TE部分的偏振光反射回欧陆娱乐器腔中参与振荡,对欧陆娱乐器原先固有的性能造成影响。因此,我们对高温阈值特性以及光栅的偏振特性进行了更深入研究,从而提高基于VCSEL的数据通信系统的性能。
4.1 高温阈值特性
为验证器件的高温阈值特性,采用PICS3D软件对其高温特性进行仿真,图1为器件的横截面原理图,以GaAs衬底,上下DBR采用Al 0.12 Ga 0.88 As /Al 0.9 Ga 0.1 As交替生长。图4为得到的三维模型图。

图4 器件的三维模型图
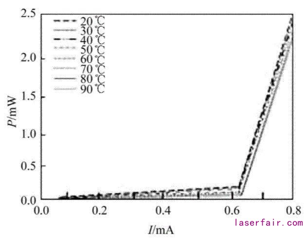
图5表示在20 ℃到90 ℃范围内NSPG-VCSEL的电流—功率曲线。我们通过引入增益腔模失配技术,使得器件的阈值电流在温度上升过程中维持在0.6 mA左右,远远低于一般结构的1.2 mA。在20 ℃到90 ℃范围内,0.8 mA的工作电流下,输出功率稳定在2 mW(数据通信系统要求功率)左右。在26 ℃下器件的输出功率是2.4 mW,当温度上升到90 ℃时,器件输出功率仍能达到2 mW,功率随温度的平均变化系数为0.005 mW/℃。结果表明,NSPG-VCSEL的I - P特性与在室温相比未发生明显衰退,在高温90 ℃的情况下,仍可满足数据通信系统对器件输出功率的要求。

图5 20 ℃到90 ℃范围内NSPG-VCSEL的电流—功率曲线
接下来我们以NSPG-VCSEL在微型原子钟的应用为例,研究其激射波长在高温工作环境下的稳定性,图6所示为NSPG-VCSEL上下DBR的反射谱线。在室温环境下激射波长在890.437 nm,通过采用-13.164 nm的失配量,在85 ℃(微型原子钟的工作温度)激射波长达到894.62 nm。因此,在高温工作环境中,器件能满足工作波长的要求。

图6 NSPG-VCSEL上下DBR的反射谱线
4.2 偏振分束特性
为验证所设计光栅的汇聚及偏振性能,采用COMSOLMULTIPHYSICS多物理有限元分析软件对其偏振特性进行仿真,图7为器件的仿真理论模型图,入射波长为894 nm,AlGaAs折射率为n 2 = 3.565,空气折射率n 1 = 1,光栅的厚度为120 nm。

图7 光栅建模结构
图8(a)是未刻蚀光栅的VCSEL透射光的电场强度分布,其光栅的透射光未实现会聚。图8(b)表示有会聚光栅器件的透射光的电场强度分布。由图可以看出,当894 nm波长的光垂直入射光栅表面时,亚波长光栅的透射光波实现会聚。计算得到TM偏振光入射时的焦距为15 μm,半高全宽(Full Width at Half Maxima,FWHM)约为0.853 μm,从而说明了加会聚光栅后器件具有优越的光束会聚功能。

图8 会聚效果对比图
图9(a)表示为整个器件出射光电场强度分布,图9(b)显示了整个器件不同角度的偏振分束光的电场强度分布(左边为TM,右边为TE),可以看出,当894 nm波长的光垂直入射光栅表面时,非周期条形光栅的透射光波可实现30°、45°、60°不同角度的偏振分束。TM输出端口的TM和TE偏振光的透射率分别为99.880%,0.096%、98.400%,0.094%、98.420%,0.094%;TE输出端口的TE和TM偏振波的透射率分别为96.000%,0.090%、95.400%,0.090%、95.00%,0.087%。其中偏振角度为30°时,偏振透射效果最佳,实现消光比>30 dB,光功率达到1.997 mW。NSPG-VCSEL与其他基于亚波长光栅结构的VCSEL相比,避免了TE部分的偏振光反射回欧陆娱乐器腔中参与振荡,对欧陆娱乐器原先固有的性能造成影响,实现了偏振分束光栅将TM与TE偏振光同时透射,本器件消光比>30dB,与同类基于亚波长光栅的VCSEL结构的20 dB相比具有很大幅度提升,说明该结构具有优越的偏振分束功能,有利于器件的高效集成,降低了器件集成的复杂度与成本,在微光学集成系统以及微光机电系统具有很好的应用前景。


图9 出射光的电场强度分布
5 结论
本文提出了一种基于非周期性亚波长偏振分束光栅的894 nmNSPG-VCSEL,通过改善增益腔模失配量以及氧化孔径的尺寸形状,实现了器件在20~90 ℃范围内基本工作性能保持稳定。利用亚波长光栅的偏振分束功能,器件输出端口的消光比>30 dB,且焦距处光束的半高全宽为0.853 μm,对偏振光实现了良好的会聚效果。满足了微型原子钟、军事通信等领域对欧陆娱乐器波长以及出光信号的要求,为下一代微型原子钟、军事通信等的发展提供了良好的理论基础。
本文内容转载自《光电子·欧陆娱乐》2019年第6期,版权归《光电子·欧陆娱乐》编辑部所有。
姜夕梅,范鑫烨,白成林 聊城大学物理科学与信息工程学院
转载请注明出处。








相关文章
热门资讯
精彩导读



















关注我们




